Синтез водорастворимых сульфопроизводных металлопорфиринов и металлоцианинов
Цель работы
Синтез металлокомплексов на основе тетрафенилпорфирина, фталоцианина и их сульфопроизводных.
Схема синтеза металлопорфиринов

Спектр поглощения сульфопроизводного порфирина

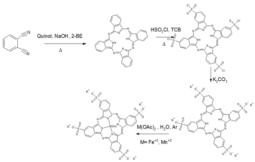
Схема синтеза металлофталоцианинов

ИК-спектр сульфопроизводного фталоцианина

Применение
- Оптические хемосенсоры
- Преобразование световой энергии в химическую (восстановления воды до водорода)
- Катализаторы окисления
Статус проекта
Выполнен.
